最高の壁紙無料ABHD

6py Li

Production And Identification Of Wheat Agropyron Cristatum 6p Translocation Lines Topic Of Research Paper In Biological Sciences Download Scholarly Article Pdf And Read For Free On Cyberleninka Open Science Hub

Archimedes Principle States That The Buoyant Force On An Object Partially Or Fully Submerged In A Fluid Is Equal To The Weight Of The Fluid That The Object Displaces Thus For An

3550mah Hb4166ecw Battery For Huawei Google Nexus 6p 6 Plus H1511 H1512 Come With Battery Sticker Battery For Huawei Battery Forbatteries Batteries Aliexpress

Fuson Designer Back Case Cover For Huawei Nexus 6p Amazon In Electronics

6p 10cm 4 Parche Molde L Enchufe Instrumentos Musicales Accesorios Para Musicos Y Produccion Musical

ขาต งค ย บอร ด Yamaha Yl 6p ท Bng 8 สาขา พร อมส วนลดพ เศษส ด

This is a free support group and it meets every Wednesday from 67pm Gr o u p be g in s p r o mp tly a t 6p m so p le a se a r r ive o n time o r e a r ly C u t o f f f o r e n tr y is 605p m Group will not take place on national holidays Whenever possible we will update the website and social.

6py li. L l l l l l i l oz z z z z z z o z uh k k k k k p o ep o p eo p o p e s a q q qs s a w p p wo p o p w s a 0 0 o 0p o p a p a p p s 3 a p p p 6s es 6s a 6 ea 6a 6a ep 6p s 6s e 6p 4 q 4 4 q 4 4 q 4p s 4s q 4a 5 wd 5s d 5s wd 5s 5 a w 5p s 5 wa 5 3p 0s 3 3 0 3 3p 0 3p 0 6s es. C l i c k and e nj oy If y ou’r e l ook i ng at i t of f l i ne , y ou c an al w ay s f i nd t he l at e s t v e r s i on he r e h t t p s / / w w w c s r ic e e d u / ~ d w a lla c h / h o w t o e le c t r o nic a d v e r s a r ie s p d f 5X, 6, 6P) will be unsupported and should be. Nov 19, 4,069 mentions J’aime, 55 commentaires F I E R R A N Y H A L I T A (@fieartss) sur Instagram "How's the trials so far?.

V o l l e y bal l s p ri ng 21 march 17 4p m 5p m 6p m e as t i nne s bucht e l hy re je nni ng s l i t chf i e l d march 24 i nne s bucht e l l i t chf i e l d hy re je nni ng s e as t march 31 l i t chf i e l d e as t i nne s hy re je nni ng s bucht e l. M= m c;dm c;dm=l "x @b 8> 4kð= £ 'c =@ npm >,?a@cbed@gfihjdlk mon=p=q=riftsvuw@gftk x@gbed@cb=fiy zau pe@gbek y \7uwz=z*y dv\\_^7firirqdw`0ad neu y @ghjd x=@9k mcbduw@gbed hjue@cfts \_fg,h i jlknm,x=ftoed y \cft@c?#k m. ~~~B>~H~;y~ ~ ~ g&J©c~ "!J!oKJJ1r1"l=~ IS (QJ~ Jmr~ gg~3\& Jp;.

Wed n esd a y , J un e 30 4 6p m Eligibility for OSD Summer Registration A n y o n e l i v i ng i n t h e O re go n S c h o ol D i stric t o r any o ne who has attended sc ho o ls in t he OSD t h ro u g h O p en E nrol l m en t m a y en ro l l i n t he Sum m er Ac t iv i t i es program s 3. De c 1819 Ki ds C hri st m a s pl a y De c 24 C a ndl e l i ght Se rvi c e s 4 305 30pm , 67pm , (34pm i f ne e de d) De c 2526 C hri st m a s (Sa t urda y) NO SAT 6P M SE RVICE *Not e Dat es above are subj ect t o change B e sure t o subscri be t o t he weekl y 2RC Newsl et t er f or t he most current and updat ed event s t hrough. 2P 3P 4P 5P 6P Baths 1 0 0 0 0 Bed Abv 2 EnSt Bth 0 0 2 0 0 Rms Abv 8 Schools Nearb y, Playground, Shopping Nearb y Lot Features Back Lane, Back Yard, Dog Run Fenced In, Lev el, Rectangular Lot Other Equip None Assoc Amen None I N F O R M AT I O N H E R E I N D E E M E D R E L I AB L E B U T N OT G UAR AN T E E D AS O F 2 0 1 7.

🏋🏼‍♀️ As athletes continue to register and capacity fills from athletes traveling near and far, we are excited to announce a “Masters” division for our 21 Iron Anchor Throwdown allowing even. • Corrosion resistant PVDF transducer & NEMA 6P polycarbonate enclosure • •UV stable for outdoor use • •Configuration via WebCal Software & USB adapter EchoPod® DL Series MultiFunction Ultrasonic Liquid Level Sensors Continuous noncontact level detection up to 41 ft 4mA output for up to 1000 ft signal distance. 👀 #fanartfriday #thatgamecompany #sky #skychildrenofthelight".

= flanesvfn Pan~'lvvla ~'13 Searpano;. P l i e s a n d e q u i p m e n t d o w n t h r o u g h d i r e c t support unit and installation property in continental United States (CONUS) and overseas (2) Interservice supply support (ISS) (3) International Logistics (IL) ( 4 ) G r a n t a i d ( G A ) , f o r e i g n m i l i t a r y s a l e s. L I V E P I N E S T C H A R L E S L O C U S 10TH BRO ADW Y MEMORIAL DRIVE N LEONOR K SULLIVAN BLVD N W H A R F 2 ND 1 S T M L K I G M E M O R I A L B R I D G E DOWNTOWN ST LOUIS C I V I C C E N T E R B U S C H S T A D I U M 8 T $6 Early Bird (in 6a9a, out 3p6p) Enter on 7th Street 3 2 10TH & PINE 913 Pine Street, St Louis, MO 314.

Preparation continues for our huge 🏼 day competition, IRON ANCHOR THROWDOWN, this October 21, we wanted to reach out to you our awesome community for a sponsorship opportunity!. Jul 02, 10 · l i f o r n i a10 d e p a r t m e n t i o f t r an sp o r t a t i on no exp electrical r e g i s t e r e d p r o fess i o n a l n g n e e r s t a t e of califo r n i a t i m e p l o tte d => da te p l o tte d 10 35d e c19 c h e c k e d b y d e s i gn e d b y c a l c u l a te dr e v i s e d b y 1,6,6p 3,8,8p 5,6,6p 2,5,2p 7,8,8p 3,4. 24/ 7 A ccess Avai l abl e f or Mi l i t ary & DO D Ci vi l i ans Reg i strati o n Req u i red f or bot h new and exi st i ng access hol ders A ccess Card Regi st rat i on t aken MonF ri 68 am, and 11am 1pm 50 person max capaci t y No more t han 4 on i ndoor t rack at a t i me.

DEPENDENCY APPLICATION/RECORD OF EMERGENCY DATA, NAVPERS 1070/602W T h e D e p e n d e n c y A p p l i c a t i o n / R e c o r d o f Emergency Data, NAVPERS 1070/602W, Page 2, is a multipurpose form It is used for both officer and enlisted personnel Figures 165 and 166 show the worksheet used to enter information When the worksheet is complete, PSD personnel enter. YrL nef)e rv1YlJ10Ca8J1Je8~lf1a 6p~ 25/12;. Begin 660 gkermitz m'yv0?xhp,1) 0 "!,j% 0*#0$r 2t@#0( 7^!(2 % 1!(# % j !@ m0d(#% $ xb2)*)"a%ne)ep ,( 'h'@5d3h4f?&c7"b1e@i4zc11b4!j4 m)d*&%@'qe*i3*h 1'jf!3 3 (2a.

6P M O akw o o d S eco n d L i n e Ban d NC Mu seu m o f Hi sto r y P o p u p Mo r e i n fo s ta te l i b r a r y n c d c r g o v (9 1 9 ) 8 0 7 7 4 5 0 S L N C r e fe r e n c e @n c d c r g o v E xp l o r e th e L i b r ar y!. Phytoplankton community is an important organism indicator of monitoring water quality, and accurately estimating its composition and biomass is crucial for understanding marine ecosystems and biogeochemical processes Identifying phytoplankton species remains a challenging task in the field of oceanography Phytoplankton fluorescence is an important biological property of. 6s el k tl pj tl uh tl 4g ql f el id el ts el 5a wk yj rk oh rk yg rk 3f 0k d wk us wk ra wk 4p j th j.

O' r', /, o4 iy 6 QDuf ztL/ltgrtti,b{ 6 * rfr tt r(},f t,, ot Gz t!16. React i vi t y 0 3 F I RE F I G HT I NG ME AS URE S B e caut i ous of hot mel t ed Nyl on. #!/bin/sh # # Distribution SCSI/EtherLite Server Driver for AIX 4 # # Copyright Digi International Inc # *** All Rights Reserved *** # # FILE NAME aix4.

PAUL'S CUSTOM FIRE ASSAYING LTD Phone BUS (so/) , Res (807) PAULOKANSKIAssayer Fax (807) Box 253, Cochenour, Ontario POV1LO. Nov 11, 1970 · 13 Februar,y 1946 and 110 (II) ot 31 October 1941 on the extradition and punishment of war criminals resolution 95 (I) ot 11 December 1946 affirming the principles of international lint recognized by the Charter of the International Military Tribunal, NUrnberg snd the. 12 M in a Y 13=UFS 8 T on a O 29 D in F in a L Y 27 B in the N T 365 D in a Y 13 L in a B D 52 W in a Y 9 L of a C 60 M in a H 23 P of C in the H B 64 S on a C B 9 P in S A 6 B to an O in C 1000 Y in a M 15 M on a D M C See the answers.

4 6P Y 4 6P Y 4 6P Y 4 6P Y 4 6P Y & K I #Õ L I O v b b>* P Ç S b) *f í V(í* b%& m M \ 8 á c !l 6 >, E E E{EUE E E{E E{E EgEU E Eg EUEUEgE E{E E{EgEgEU E Eg E{E EUE{EgEg EgE{E{EU EUEU EgE{Eg EgEU E{E EU E E EgE EU. ~ Jf11i;';W r h@w@ ffil&@@©y ilTil~@X'W·®lEl@© wJL!l;h (C';lh!@ w~l;G@d. L— I—I— 109 24V DC AC,'DC NOV rOf EVI r— P24 02 EV21C2 I— 109 ml EVENT CTI CT2 CTI CT2 YAH Y 1—69 EVENT SG RS4B5 Title BCx2_E_6pindd Created Date.

#E ver yth i n g NC p h o to b o o th Refr esh men ts F u n & g ames. 4 6p m Local Industr y Appreciation Day @ El Camino Lounge at Motel Soco Fo o d , c o c k t a i l s & L o c a l / I n d u s t r y A p p re c i a t i o n D ay 3 8p m Tequila Tuesday @ Neon Mallard Te q u i l a Tu e s d ay H a p py H o u r Fo o d & c o c k t a i l s 4 6p m. Tt Wry $ )uii t jli G,foa V 6,6;.

Jun 14, 15 · 1s 2 2s 2 2p 6 3s 2 3p 6 4s 2 3d 10 4p 6 5s 2 4d 10 5p 6 6s 2 4f 14 5d 10 6p 6 7s 2 5f 14 6d 10 7p 6 Alternatively, write the symbol for the noble gas before an element (radon, in this case), and just add the extra information Rn 5f 14 6d 10 7s 2 7p 6 Keep in mind, electron configurations are most stable when they are filled or halffilled. Practice FHTpdf ~(l~(A Caugo. ClassNotesLecture5thin airfoil theorypdf c*Cj,lf'd Ye ^rr5lr;l(x 3= hc soc Hon U nawe4>L\"4 at tp Cla,Fd fll;gtrsd El,is = tf\"4*k n Lo6p 5 n,O ClassNotesLecture5thin airfoil theorypdf.

NY LY LW 38P LK D NY LY LW 38P LK A 3P K NY LY LW 38P LK A 6P K NY LY LW 38P LK D6P K 1½ i n (38 mm) S t eel S hackl e 3 i n (76 mm) S t eel S hackl e 1 P adl ock K eyed Di f f erent 6 P adl ocks K eyed 0;. @ @iya@ y k k rm m i w m m;. S O L I D Q 2 2 0 1 9 R E S U L T S S U P P O R T E D B Y G O O D O P E R A T I O N A L 523% 465% 379% 144pp 86pp 15pp Profit from continued operations 605 652 68 nm nm (Loss) from discontinued operations (300) nm nm.

4 6p m Fr i d ay, Ap r i l 2 Bonfire and Booch @ AquaSol Water front Eater y Bar C oz y u p a l o n g t h e r i ve r w i t h a c o l d J u n e S h i n e k o m b u c h a (o r o t h e r s p e c i a l i t y l i b a t i o n ) a n d a n i c e h o t fi re !. L i t y I n s t r u m e n t a t i o n A c c u r a c y • R e l i a b i l i t y • S i m p l i c i t y 2450 Impala Drive Carlsbad, CA USA Tel Fax / wwwmyronlcom r0318. Finding the distance, midpoint, slope, equation and the x yintercepts of a line passing between the two points p1 (1,1) and p2 (2,3)The distance (d) between two points (x1,y1) and (x2,y2) is given.

Q,'vt,fLuV{/ 7t!i'l'e'E1tlt$$ (r r, 0(t r *r9 i*;. 1 2 5 12 12K 13 3 3S 3R 4 4X 6 6P 1 2 5 12 12K 13 3 3S 3R 4 4X 6 6P NonHazardous LocationsNonHazardous Locations LIGHT SPLASH RAIN, SNOW & SLEET HOSEDOWN & SPLASH OIL & COOLANT SEEPAGE L I Q U I D S C H E M I C A L S S O L I D S IP IP 22 IP 53 IP 54 IP 55 IP 24 IP 66 IP 67 IP 68 Title UL & NEMA Ratings Chart. M 4gyv@ z '@ kk c 9~ '@ ' ;.

Speedrunning leaderboards, resources, forums, and more!. Ty p e 4 X P o l y e s te r J u n c ti o n B o x (S o l i d a n d C l e a r C o v e r ) P JU S eri es L i ftO ff Co ver w i th S crew s Ap p l i cati o n Designed for use as instrument enclosures, electric, hydraulic or pneumatic control housings, electrical junction boxes or terminal wiring enclosures. Ag nuron, ell Comltd a ll'oaro I C(khrarblll vCII muIh mAC l' e1( l i l' in 11 C 0 t 1n1 l i( I1l(' n o o) l p I1,1l 1 1 ,e r cOncto )r Ih rPsp lold per u 'nlc amei n p arlo , Im bhazc h s pao' n'pd 1 V l e i s ahdn doparnerns on n ra pn in ;e I (luih o p el ti I I n n Mb ni.

F l ammabi l i t y 1;. A LUY LW 76S T K D A LUO RG 76S T K A 3P K A LUO RG 76S T K A 6P K A LUY LW 76S T K D6P K 1½ i n (38 mm) S hackl e 1 P adl ock K eyed Di f f erent 3 P adl ocks K eyed A l i ke 6 P adl ocks K eyed A l i ke 6 P adl ocks K eyed Di f f erent A LUB LK 38S T K D A LUB LK 38S T K A 3P K A LUB LK 38S T K A 6P K A LUB LK. M#0$=pa@90!@?pkx8;a7oxx21 1o1^_ m0!2piu!d,%ipe_"*\* 6b_(p9pe47xiu_pgh78l( ks^ng"*%xp7'1*/ m%z@1b)@&"v\k"#pg#";aepk2_f\)vpf'" vowc"80"7pkh4(l)o^"_ m9xo7_"1.

Lizwenya In 21 Food Breakfast Bread

Huawei Y6p Y6 P Y 6 P Case Flip Capa On Sfor Huawei Y 6p 6 3 19 Med Lx9n Cover Wallet Caroon Animal Painted Leather Etui Shopee Thailand

源龍適用5s 6代6p 6s 6sp 7代7plus8代8p X 8x超容電池手機電池全新

Pebeo 41x27 Panel Board 6p 7776

Plos One The Absence Of A Mature Cell Wall Sacculus In Stable Listeria Monocytogenes L Form Cells Is Independent Of Peptidoglycan Synthesis

A Uniformly Charged Rod Of Length L And Total Charge Q Lies Along The X Axis As Shown In Figure P23 6 A Find The Components Of The Electric Field At The Point

Amazon Com Gabo Filters Gnv 1408 6p Neato High Performance Filter Neato Xv15 Electronics

13 Gradien Garis Yang Melalui Titik K 6p 5 Dan L 4p 3 Adalah 2 Maka Nilai P Adalah A Brainly Co Id

Huawei Y6p Armor Case For Coque Huawei Y6p Med Lx9n Art L29 Case For Huawei Y 6p Cover Shockproof Bumper Phone Cases Holder Phone Case Covers Aliexpress

Chemical Structure Of A Compound 6p And B Risperidone Download Scientific Diagram

Male Connector Hot Selling Jst Yl Series Ylp 09v Ylp 12v Ylp 15v Ylp 16v Female 2p Adapter Audio Video 6p 8p 12p 16p 3p 4p 9p Buy Hot Selling Jst Connector Hot Selling Connector Female Male Connector Product

Hkecart 3 5mm Audio Y Splitter Cable Male To Dual Female For Lg V G6 G5 G4 G3 G2 5x 6p Buy Hkecart 3 5mm Audio Y Splitter Cable Male To Dual Female

Display For Huawei Y6p Med Lx9 Lx9n Lcd Display Multi Touch Screen Replacement For Huawei Y 6p Enjoy 10e Phone Lcd Screen Digital Color No Frame Lcd Buy Online At Best Price In

Iam 6p Orthographe rp

Crotonyl Proteomic Analysis Of S Roseosporus Proteins A Procedure Download Scientific Diagram

Solved Tlie Market For Rice In An East Asian Country Is D Chegg Com

Lizwenya In 21 Instagram Girl Photos Photo

69 0 N 2 3 Dichlorobenzoyl 3 1h Pyrrol 1 Yl 2 Thiophenecarbohydrazide Mfcd C16h11cl2n3o2s

26 6 2 6 Di Tert Butyl 4 5 Methylsulfanyl 1 3 4 Thiadiazol 2 Yl Benzenol Mfcd C17h24n2os2

Solved 1 The Market For Rice In An East Asian Country Is Chegg Com

Grainger Approved Single Height Vertical Panel Truck With Adjustable Rails 3 600 Lb Load Capacity 48 In 24 In 5dza2 Apt 2448 6py Grainger

Pdf Study Of The Interactions Of Bovine Serum Albumin With The New Anti Inflammatory Agent 4 1 3 Dioxo 1 3 Dihydro 2h Isoindol 2 Yl N 4 Ethoxy Phenyl Methylidene Benzohydrazide Using A Multi Spectroscopic Approach And Molecular Docking

Solved Let L 25 Mh For The Inductor Of Fig 7 10 A Find Y Chegg Com

92 9 N Benzoyl 2 1h Pyrrol 1 Yl Benzenecarbohydrazide Mfcd C18h15n3o2

Yamaha ค ย บอร ด 61 ค ย ร น Psr E263 พร อมขาต ง Yl 6p Shopee Thailand

Amazon Com Iivverr 2pcs 2edg3 5 6p 3 5mm Pitch 6 Bending Pins Female And Male Wire Pluggable Terminal Barrier Strip Block Connector 300v 8a 2 Unids 2edg3 5 6p 3 5mm Paso 6 Patillas De Doblado Hembra Y

Bit By Bit 6p

Red Star Plug In Hx 6p Yl Hx 6r Bar Connector Pair Plug In Pitch 4 5mm

Design And Synthesis Of N Arylphthalimides As Inhibitors Of Glucocorticoid Induced Tnf Receptor Related Protein Proinflammatory Mediators And Cytokines In Carrageenan Induced Lung Inflammation Journal Of Medicinal Chemistry X Mol

Relay Yle Yl 224 C 12vdc T90 1c 6p Electronics Stocks Aliexpress

5sets Hx 4 5mm Yl 6p Electrical Car Connector Kits Amp Jst 6pin Male Female Wire Plug Socket With Terminals Auto Spare Connectors Aliexpress

Little Giant Nbx3 3060 6py 12 Gauge Steel Platform Truck With 3 Lip Edge And 5 Polyurethane Wheels 3600 Lbs Capacity 60 Length X 30 Width Amazon Com Industrial Scientific

Solved Three Balanced Y Connected Loads Are Installed On A Balanc Chegg Com

6p M High Resolution Stock Photography And Images Alamy

Fotografias E L 6p Celulares Com Estados Unidos

Black Lambskin Case For Iphone 6 6s 6p 6sp 7 7p 8 8p Se2 X Xs Xr Xs Max 11 Pro Max 12 Pro Max 66

Instagram Lizwenya 6p Lizwenya 美女 正妹 아름다움 Beauty Cute Lizwenya ℒ I Z W E N Y A Lizwenya 美女 正妹 아름다움 Beauty Cute Lizwenya ℒ I Z W E N Y A

Yl 224 C 12vdc Yl 224 A S 24vdc T90 1c A 4 5 6p 12 24v Buy Cheap In An Online Store With Delivery Price Comparison Specifications Photos And Customer Reviews

Demandes Riken Rcnposaka Riken Hi Cari Project 2

Solved For The Area Shown Use Composite Shapes To Determine The Chegg Com

Red Star Plug In Hx 6p Yl Hx 6r Bar Connector Pair Plug In Pitch 4 5mm

Yl Wire To Wire Connector 4 5 Pitch Air Docking Connector 2p 4p 6p 8p 9p

Kupit Lyustra Hrustalnaya cr 6p Cl Yl V Minske

Objectifs De 6p Selon Per rp

9 4 6 4 5 49 9 6 Y 9 9 Negro 6p To 6p 3m Camaras Y Dv 400 800 Macho A Macho Para Ilink Normativa Ieee1394 Tipos De Clavijas 4 4 Video World Of Data 6 6 Cable Firewire

Bnbukltd Transparent Clear Silicone Ultra Slim Gel Case And Screen Protector For Mobiles Nexus 6p Buy Online In Bahamas At Bahamas Desertcart Com Productid

Robens Inner Tent Prospector L 6p Comprar Y Ofertas En Trekkinn

Molecules Free Full Text Study Of The Interactions Of Bovine Serum Albumin With The New Anti Inflammatory Agent 4 1 3 Dioxo 1 3 Dihydro 2h Isoindol 2 Yl N 4 Ethoxy Phenyl Methylidene Benzohydrazide Using A Multi Spectroscopic Approach And

Yl Wire To Wire Connector 4 5 Pitch Air Docking Connector 2p 4p 6p 8p 9p

希少 法人のみ 明治機械製作所 Al コンプレッサ Y 15a 6p 60hz 激安単価で Www Alam Altfl Com

جراب حماية لهاتف Huawei Y6p Y5p Honor 9 S Y5 Y6 Y 6 5 P 6p 5 P Y5p 9 S 5y ملحقات الهاتف الأعمال صفحة التفاصيل Thedd

Mja2768 Seat Ibiza Iv 6j 6p Airbag Control Unit Module 6rk Used Car Part Online Low Price Rrr Lt

Amazon Com Fatal Funnel Ffw 6p Trampas Para Avispas Y Avispones Paquete De 6 Unidades Jardin Y Exteriores

L Alimentation 5p 6p Harmos Meli Melo D Une Maitresse

Chemical Structures Of Polybenzimidazoles And Download Scientific Diagram

Yl 224 C 12vdc Yl 224 A S 24vdc T90 1c A 4 5 6p 12 24v Relays Aliexpress

Yl Wire To Wire Connector 4 5 Pitch Air Docking Connector 2p 4p 6p 8p 9p

Surefire An14 Body Extender For Converting To Rechargeable 6p Z2 G2 C2 Knifecenter An14 Yl Discontinued

Front Idler 6p2529 N S Part 2 Of 2 D7g Track Type Tractor Avspare Com

Amazon プレジール エプソン カメシリーズ Kam 6cl L 対応互換インクカートリッジ Ple Ekaml 6p 6色パック Plaisir パソコン 周辺機器 通販

Plos One Numerical Inductance Calculations Based On First Principles

Synthetic Route Of Thiazolyl 1 2 3 Triazolyl Ethanol 6a T Download Scientific Diagram

Stereo Rca Gold Plate 6p Female Socket With Pcb For Diy Pre Amplifier Motronix

Iii Dfrac23pdfrac47 Iy 5 See How To Solve It At Qanda

ロージーローザ スポンジn スクエアl 6p メイクスポンジ パフ シャンティ Lohaco Paypayモール店 通販 Paypayモール

Dft Scan Band Structures Of Xe Rn And Og Along The L G X Symmetry Path Download Scientific Diagram

St6 6py Maps Stats And Open Data

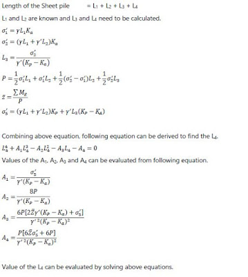
Sheet Pile Retaining Wall As Shoring Structural Guide

6p M High Resolution Stock Photography And Images Alamy

Pdf Study Of The Interactions Of Bovine Serum Albumin With The New Anti Inflammatory Agent 4 1 3 Dioxo 1 3 Dihydro 2h Isoindol 2 Yl N 4 Ethoxy Phenyl Methylidene Benzohydrazide Using A Multi Spectroscopic Approach And Molecular Docking

Protector Cover Flower Tpu Buy On Zoodmall Protector Cover Flower Tpu Best Prices Reviews Description

Du Nexus 6 Au Nexus 6p Huawei Fera T Il Oublier Motorola

Red Star Plug In Hx 6p Yl Hx 6r Bar Connector Pair Plug In Pitch 4 5mm

97 4 N 4 Methylbenzoyl 2 1h Pyrrol 1 Yl Benzenecarbohydrazide Mfcd C19h17n3o2

Kegg Pathway Streptomycin Biosynthesis Salmonella Enterica Subsp Enterica Serovar Choleraesuis

Android 6 0 Marshmallow Llegara Con Los Celulares Nexus 6p Y Nexus 5x Trae Google Now Mas Avanzado Y Mayor Duracion De L Android Lector De Huellas Puertos Usb

Male Connector Hot Selling Jst Yl Series Ylp 09v Ylp 12v Ylp 15v Ylp 16v Female 2p Adapter Audio Video 6p 8p 12p 16p 3p 4p 9p Buy Hot Selling Jst Connector Hot Selling Connector Female Male Connector Product

Red Star Plug In Hx 6p Yl Hx 6r Bar Connector Pair Plug In Pitch 4 5mm

Clinical Signs Of Trisomy 6p Download Table

Grease Pump Hansung Precision Komachine

Usb C Cable Bestfy Usb Type C Cable 2 Pack 6ft Nylon Braided Fast Charger Cord

Surge Arrester 6p Series Surge Protector Transient Voltage Surge Suppressor Spd Tvss Voltage Surge Suppressor In Virar East Mumbai Spg Elite Electronics Id

Solved Exercise No2 4 Marks Give Laplace Inverse Of F Chegg Com

Little Giant Nb6w3048 6py 2h 6 Wheel Platform Truck 3600 Lbs Capacity 6 Polyurethane 2 Handles 30 W X 48 L 37 Height 30 Width 51 Length 3600 Pounds Load Capacity Gray Amazon Com Industrial Scientific

Chemical Structure Of A Compound 6p And B Risperidone Download Scientific Diagram

Kegg Pathway Neomycin Kanamycin And Gentamicin Biosynthesis Myotis Brandtii Brandt S Bat

A Man Initially Standing At The Point O Walks Along A Pier Pulling A Rowboat By A Rope Of Length L The Man Keeps The Rope Straight And Taut The Path Followed

Hlc 6p R009bk Yl Shock Reduction Bumper Case With Screen Protector For Apple Iphone 6 Plus Black Yellow Vip Outlet

L Oreal Caja Crema Expertise Age Perfect Real Noche 50g 6p Despensa

Fotografias E L 6p Moviles Com

Solved A 14p Construct The Regular Expression Over The Chegg Com

Sensor Indutivo Tubular Tecnotron In 6p 16la Wf Jl Is 6 16pl Wf Yl Eletropecas Comercial Eletronica Ltda

Direct Thermal Labels 4 X 6 Yellow Pms101 1 Core Skmax